Получен первый результат с использованием полного набора данных эксперимента Daya Bay
Внутри одного из восьми детекторов эксперимента Daya Bay
Daya Bay Roy Kaltschmidt, Lawrence Berkeley National Laboratory / Wikimedia Commons
За период более девяти лет реакторный антинейтринный эксперимент Daya Bay набрал беспрецедентную статистику в пять с половиной миллионов взаимодействий нейтрино. Международная группа физиков из коллаборации Daya Bay представила первый результат, полученный на основе полного набора данных эксперимента: наиболее точное измерение угла смешивания θ₁₃, ключевого параметра, необходимого для понимания того, как нейтрино меняют свой “аромат”. Результат, обнародованный на конференции Нейтрино 2022 в Сеуле (Южная Корея), поможет физикам разгадать некоторые из главных загадок о природе вещества и структуре Вселенной.
Нейтрино — это элементарные частицы, известные одновременно и своей неуловимостью, и своей вездесущностью. Они беспрестанно со скоростью света бомбардируют каждый сантиметр поверхности Земли, почти не взаимодействуя с веществом, и могут пройти сквозь слой свинца толщиной в несколько миллионов солнц, не побеспокоив ни единого атома.
Одно из свойств, присущих только нейтрино, — это их способность осциллировать между тремя различными “ароматами”: электронным нейтрино, мюонным нейтрино и тау-нейтрино. Реакторный антинейтринный эксперимент Daya Bay был создан для измерения характеристик (известных как углы смешивания и квадраты разностей масс), определяющих вероятности этих осцилляций.
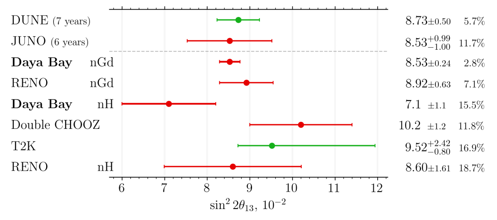
Когда в 2007 году была начата подготовка эксперимента Daya Bay, только один из трех углов смешивания оставался неизвестным: θ₁₃. Эксперимент Daya Bay был создан для измерения θ₁₃ с чувствительностью, превышающей чувствительность всех других экспериментов (физики определяют θ₁₃ по измерению амплитуды осцилляций, что в математической нотации записывается как sin²2θ₁₃).
Эксперимент Daya Bay проводится в провинции Гуандун в Китае. В нем используются большие цилиндрические детекторы частиц, помещенные в бассейны с водой в трех подземных лабораториях. Восемь детекторов регистрируют световые сигналы от взаимодействий антинейтрино, которые прилетают из соседних атомных электростанций. Антинейтрино — античастицы нейтрино — рождаются в огромном количестве в атомных реакторах.
Эксперимент Daya Bay был создан усилиями международной коллаборации, в которую входят ученые из Китая, США и Европы. Институт физики высоких энергий Китайской академии наук в Пекине (ИФВЭ) играет ведущую роль в коллаборации со стороны Китая. Со стороны США ведущая роль у Национальной лаборатории Лоуренса в Беркли Министерства энергетики США и Брукхейвенской национальной лаборатории. Из Европы участвуют две научные организации: Объединенный институт ядерных исследований в Дубне и Карлов университет в Праге (Чехия).
Для определения значения θ₁₃ ученые из Daya Bay наблюдали антинейтрино определенного аромата — в данном случае электронного — в каждой из подземных лабораторий. Две лаборатории расположены вблизи ядерных реакторов, тогда как третья лаборатория находится на достаточном для осцилляций антинейтрино расстоянии. Сравнивая числа антинейтрино, отобранных в ближних и дальних детекторах, физики вычисляют, какая доля частиц изменила свой “аромат”, и тем самым определяют значение θ₁₃.
Первый в мире убедительный результат измерения θ₁₃ физики эксперимента Daya Bay получили в 2012 году. Этот результат уточнялся по мере набора данных. Эксперимент успешно проводился в течение девяти лет. В декабре 2020 года набор данных был остановлен, затем был проведен тщательный анализ данных. Сейчас можно с уверенностью сказать, что эксперимент Daya Bay значительно превзошёл ожидания. Точность измерения θ₁₃, полученная на основе полного набора данных, в два с половиной раза превысила планируемую. Считается, что ни один из существующих или планируемых экспериментов не сможет достигнуть подобного уровня точности.
“Несколько групп ученых кропотливо исследовали весь набор данных, учитывая мельчайшие изменения в отклике детекторов за девять лет их работы, — сообщил Цзюнь Цао (Jun Cao), соруководитель эксперимента Daya Bay из ИФВЭ в Пекине. — С полной статистикой были уточнены критерии отбора и улучшены методики определения фона. Тщательная работа позволила нам достичь непревзойденного уровня точности”.
Высокоточное измерение θ₁₃ поможет физикам измерить другие параметры осцилляций нейтрино, а также улучшит модели элементарных частиц и их взаимодействий.
Исследование свойств и взаимодействий антинейтрино может помочь физикам понять причины дисбаланса вещества и антивещества во Вселенной. Ученые считают, что во время Большого взрыва вещества и антивещества было поровну. Однако, если бы это было так, вещество и антивещество должны были бы аннигилировать и оставить после себя только свет. Для того чтобы объяснить преобладание материи над антиматерией в современной Вселенной, должно существовать некое, нарушающее равновесие различие.
“Мы предполагаем, что существует небольшое различие между нейтрино и антинейтрино, — рассказал Кам-Бю Лук (Kam-Biu Luk), соруководитель эксперимента Daya Bay из университета в Беркли. — Мы еще никогда не наблюдали различий между частицами и античастицами для лептонов — группы частиц, к которой относятся нейтрино. Наблюдались различия между кварками и антикварками. Однако различий, которые мы видим для кварков, недостаточно, чтобы объяснить, почему вещества во Вселенной больше, чем антивещества. Нейтрино может оказаться недостающим звеном”.
Результатом нового анализа полного набора данных Daya Bay также стало высокоточное измерение разницы квадратов масс. Этот параметр нейтрино определяет частоту нейтринных осцилляций.
“Измерение разницы квадратов масс изначально не входило в планы эксперимента Daya Bay. Тем не менее такая возможность появилась благодаря относительно большому значению θ₁₃, — сказал Кам-Бю. — Мы измерили разность квадратов масс нейтрино с точностью 2,3% на полном наборе данных, что лучше нашего предыдущего результата с точностью 2,8%”.
Международная коллаборация Daya Bay продолжает работу и планирует получить дополнительные результаты на основе полного набора данных, в том числе уточнить предыдущие измерения.
Нейтринные эксперименты следующего поколения, например DUNE (Deep Underground Neutrino Experiment), используют результат Daya Bay, чтобы с высокой точностью измерить и сравнить свойства нейтрино и антинейтрино. Готовящийся сегодня эксперимент DUNE будет использовать самый мощный пучок нейтрино и подземные детекторы, находящиеся на расстоянии 1300 км друг от друга. Эксперимент позволит изучить поведение нейтрино с невиданной ранее точностью.
“У эксперимента DUNE много планов. Есть там и измерение θ₁₃ с точностью, почти сравнимой с точностью эксперимента Daya Bay, — заметила Элизабет Вустер (Elizabeth Worcester), физик из Брукхейвена, участница коллаборации Daya Bay. — Это важно, так как у нас появится точное измерение θ₁₃ из разных каналов осцилляций, что позволит тщательно проверить трехнейтринную модель. Пока DUNE не достигнет необходимой точности, прецизионное измерение Daya Bay угла θ₁₃ может быть использовано как ограничение, чтобы обеспечить возможность исследовать различия между свойствами нейтрино и антинейтрино”.
Обнаруженная величина угла смешивания θ₁₃ порядка 9o открывает возможность определения в эксперименте с реакторными антинейтрино, какое из трех нейтрино наиболее легкое. “Точное измерение θ₁₃ в эксперименте Daya Bay улучшает чувствительность к упорядоченности масс в эксперименте JUNO (Jiangmen Underground Neutrino Observatory), строительство которого будет завершено в Китае в следующем году, — объяснил Ифан Ван (Yifang Wang), руководитель эксперимента JUNO и директор ИФВЭ в Пекине. — Более того, JUNO сможет за несколько лет достичь точности измерения разницы квадратов масс, измеренной в Daya Bay”.
Научная группа ОИЯИ работает в эксперименте Daya Bay с первых дней проекта, когда еще даже не была создана коллаборация. За почти двадцатилетнюю историю участия в проекте дубненские ученые внесли огромный вклад в эксперимент: это и производство и поставка спектросмещающей добавки в жидкий сцинтиллятор детекторов антинейтрино, и анализ данных. За это время ученые из ОИЯИ защитили две докторские диссертации, одну кандидатскую и десяток дипломных работ, связанных с экспериментом Daya Bay.
“Четыре группы исследователей из разных стран и институтов в течение нескольких лет работали над получением окончательных результатов осцилляционного анализа, которые и были представлены на конференции Нейтрино 2022, — сказал к. ф.-м. н. Максим Олегович Гончар, руководитель группы ОИЯИ эксперимента Daya Bay, начальник сектора реакторных нейтрино научно-экспериментального отдела физики элементарных частиц ЛЯП ОИЯИ. — Одной из групп была наша группа из ОИЯИ. Отбором событий занимался Дмитрий Должиков, аспирант МГУ, а за осцилляционный анализ от ОИЯИ отвечал Константин Тресков, который планирует по результатам своих исследований представить к защите диссертацию на соискание степени кандидата физико-математических наук”.
Максим Олегович добавил: “В настоящее время мы также работаем над поиском гипотетического стерильного нейтрино. Данная работа выполняется Виталием Завадским. Кроме того, коллаборация поручила именно дубненской группе разработку и внедрение механизма сохранения уникальных данных эксперимента Daya Bay”.
“Участие в эксперименте Daya Bay позволило нам получить уникальный опыт, многому научиться. Результаты эксперимента превзошли самые смелые ожидания: нам удалось сделать важнейшее открытие ненулевого значения угла смешивания θ₁₃ и обнаружить осцилляции нейтрино с участием трех нейтрино. Этот результат был отмечен крупнейшей премией в науке Breakthrough in Fundamental Physics 2016 года”, — резюмировал руководитель Нейтринной программы ОИЯИ, заместитель директора ЛЯП ОИЯИ по научной работе Дмитрий Вадимович Наумов.
В коллаборацию Daya Bay входят 237 ученых из 42 научных организаций Азии, Европы и Северной Америки.




